產品名稱:膝溝藻毒素-1和-4溶液
貨號:CRM-GTX1&4-e
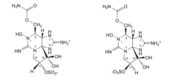
英文名稱:Gonyautoxins-1 and -4 (GTX1&4) calibration solution CRM
規格:0.5ml
說明:CRM-GTX1和4-e是用于分析測定Gonyautoxin-1和-4(GTX1與GTX4)的儀器校準溶液。每個安瓿含有溶解在0.5mM鹽酸水溶液中的約0.5mL溶液。
Application field(s): Food Safety
Analyte group(s): Algal toxins, Cyanobacterial toxins
Unit: 0.5mL/ampoule
使用說明:CRM-GTX1&4-e是一種用于GTX1和GTX4分析方法的開發和準確測定的認證校準液。該濃度適合于制備稀釋系列,用于液體色譜等儀器的校準,包括柱前/柱后氧化-熒光(LC-ox-FLD)或質譜(LC-MS)檢測等儀器的校準,并用于添加對照樣品進行回收實驗。
加拿大國家研究委員會NRC(Conseil national de recherche Canada)是加拿大政府的科學技術研究機構,它成立于1917年。起初,它僅僅是一個協調和資助全國的科學研究的機構;經過70年的發展,今天它已成為一個具有較強實力的自然科學領域的全國性研究中心。
加拿大NRC標準品(CRM)主要分析物類別:藻類和藍藻毒素、氨基酸、污染物、膳食補充劑、乙醇、霉菌毒素、粒徑、肽、蛋白質、穩定同位素、總元素含量、微量元素種類、獸藥等。
NRC標準品(CRM)應用于以下領域:臨床、環境、食品安全、法醫學、高純度材料、同位素比值、納米材料、核法醫學、營養學等。
東莞市百順生物科技有限公司是NRC的代理商,專注于CRM-GTX1&4-e 膝溝藻毒素-1和-4溶液等產品的銷售和服務。歡迎咨詢訂購。
訂購須知: 1. 本公司僅提供NRC標準品代理采購業務。⒉.本公司承諾所采購產品來自NRC。
3.本公司保證全程采用要求的運輸條件進行產品運輸。4.本公司對所委托進口產品品質不做任何擔保,如遇質量問題,本公司可協助客戶與NRC進行協商處理售后問題。




陳經理(銷售)
